Behind the Model

The purpose of this page is to provide a detailed explanation of how the backend model works. An understanding of linear algebra and calculus will be helpful.

Overview

The core thesis of this project is that public equity performance is influenced by a complex array of market conditions and financial composition. By training a neural network to model one-year equity yield using extensive historical data, we gain a method to decode these underlying complexities. Although it is impossible to predict the future, the benefit of this approach is that it is not dependent on predicting portfolio yield with 100% accuracy - but is successful if it is able to 'learn' directional trends of portfolio performance. Although the program may not be able to predict the exact performance, it will be able to position the portfolio to have the highest potential yield and minimum uncertainty (optimized through Gaussian NLL) - this is explained in further detail below. This is partially the reason for training at portfolio level (as opposed to individual securities) as it provides better opportunities for risk mitigation (direct diversification) and to provide vector mapping to programmatically position a portfolio for optimal performance.

Building the prediction model

The first 'learning' stage of this model is based on a regression trained neural net aiming to predict portfolio yield. The purpose of this step is to generate a function N() which can predict how a portfolio will perform given a set of conditions (composition, market features, economic data etc.). Instead of building a predetermined function which may theoretically represent portfolio perfomance, this approach allows the neural net to act as a functional representation of the market and dynamically adjust to real performance from over 300k random portfolios from different industries and time periods. Additionally, when programming the neural net ensuring differentiability, it allows for the calculation of gradients which is the primary means of optimizing the allocation within a specific portfolio.

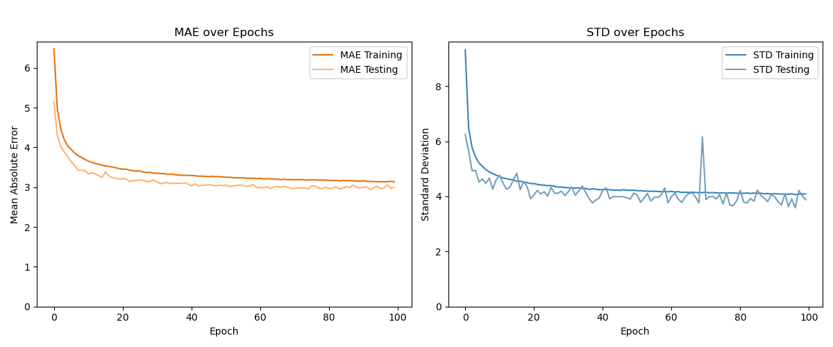
Network Progress

where:

* Side note: In actual implementation, the weight vector is not passed directly into the network but is passed through a series of preprocessing functions. For simplicity I will just show the w vector as a direct input. In reality it would look something like the following: Gradient

Portfolio optimization

Once the neural net is trained, functional representation is used so that the model can 'learn' how to optimize performance by changing the input allocation vector (w). This process is done through gradient ascent:

Gradient Vector Calculation

Gradient

1 step in learning

Gradient step

Example visual:

Gradient Image

Network Training Results

Network Progress

Network Yield Predictions vs Real Performance

The following graph shows the annual yield prediction from the network compared to the actual portfolio yield. Predictions are made on data prior to the performance window - mimicking current day application.

Predictions vs Performance

*P-value recap

Neural Net - Additional info

Structure

Hidden Nodes: Each hidden node in the network is 'connected' to each node in the adjacent layers. The term connected means the following:

  • The node recieves the outputs from all nodes in the previous layer (as a vector) and applies some transformation to it. Ex:
    f(V) = transformed scalar
  • The output of the node is used as an element in a vector passed along to the nodes in the next layer. Ex:
    V = [f(V1),f(V2),f(V3),...,f(Vn)]
    f(V) = another transformed scalar

Note: Each node in the hidden layers acts as a feature identifier, which is what allows the network to 'learn' highly complex patterns. For example, if the first node in the first hidden layer has assigned weights which focus on identifying when a portfolio has high inflation, high price volatility and high beta, it will then return a stronger signal output >> f(V) << when that case presents itself. This signal output is then passed along to the next layer. In the second layer the signal recieved from node 1 along with the signals recieved from all other nodes (each trained to identify distinct features) will be used to analyze relationships between various signal outputs and assign weights to identify 'deeper' patterns - hense the term deep learning.

Input Nodes: The input layer gets scaled first (keras normalization) then each column/feature in the dataset is passed on as a distinct node.

Output Node: The output layer applies a final transformation from the nodes in the final hidden layer to return 1 predicted result.

Individual Node - transformation & activation

There are two main operations which happen within each node:

  • Transformation
  • Activation
- Transformation -

So far, the transformation function has been written in a generic format: f(V). The actual function used on each node is the following:

f(V) = W * X + b

where W * X is the dot product of two vectors and b is a bias scalar to introduce unbounded mapping (will not need to pass through origin [0,0,...0]). W and b are gradually 'learned' through network passes and X is the vector of signals recieved from the previous layer as described above.

W = [w1, w2, w3, ..., wn]

X = [x1, x2, x3, ..., xn]

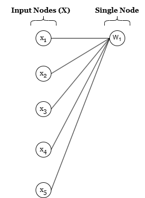
Single Node
- Activation -

Activation is required to introduce non-linarity into the network. Without an activation function the network could be reduced down to a series of linear transformations - which is limited. Conceptually, activation is designed as a 'switch' so that a signal will only be returned from a node if the distinct feature is identified (see note section above describing node features). The activation function used in this project is ReLU (Rectified Linear Unit):

ReLU = max(0, f(V))

The benefit with ReLU activiation is that aside from begin a switch (binary indicator of feature presence) it indicates signal strength when the features are present - allowing for more rigorous analysis. The graph to the right shows examples of how transformation results would be treated before & after activation. The points with a red X show the 'pre activation' result which after activation return a muted signal (0) for that node (empty black circles). Only the green circles are passed on to the network. The signal strength of the node (if not muted) is dependent on the magnitude of the transformed output. This function is what allows nodes to be feature specific and map characteristics of complex inputs.

ReLU

Gaussian Negative Log Loss

When originally designing the network, it was based on mean squared error (MSE = (Prediction - Real)^2 ). In most ML problems this is a sufficient loss function, however in investment management its important to know relative certainty. The objective of introducing Gaussian NLL as the loss function is to output predicted yield as well as model confidence - as in most cases an amount of uncertainty is inevitable. The Gaussian NLL function is a follows:

Loss function
In Gaussian NLL, the model is training a distribution that will accurately map the predicted output instead of just a single point. The visual to the right shows how optimal variance changes as the regression term changes (R). When the regression is large, the loss score (y) decreases as variance (v) increases - meaning that when the model is not confident, it will increase the variance output. However when the regression term is small, the loss score (y) decreases as variance decreases - meaning that when it is more confident it can optimize the loss function by decreasing the variance.

Loss function